Методические указания к решению задачи

Определение годового экономического ущерба от загрязнения воздушного бассейна производится по формуле:

где у - константа, численное значение которой при оценке выбросов в атмосферу, применяется равным 2,4 руб. / усл т;

d - безразмерная величина, численное значение которой определяется типом загрязняемой территории.

При выбросе газов на территории промышленного района d принимается равной 4, в населенных местах с плотностью населения n чел./га ~ 0,1 n, а в пригородных зонах отдыха - 8. Если ЗАЗ неоднородна, то

где SЗАЗ - общая площадь ЗАЗ;

j - номер части ЗАЗ, относящейся к одному из типов территорий; k - общее число типов территорий, попавших в ЗАЗ.

Безразмерная величина f значение которой для газообразных веществ и легких частиц, оседающих со скоростью менее 1 см/с, определяется по формуле:

где h - высота устья источника загрязнения, м;

j - поправка на тепловой подъем факела выбросов в атмосферу (безразмерная);

U - среднегодовое значение скорости ветра на уровне флюгера, м/с.

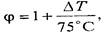
В свою очередь, поправка j определяется по формуле:

где D Т - среднегодовое значение разностей температур в устье источника и в окружающей атмосфере на уровне устья.

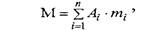
Приведенная масса годового выброса загрязнений определяется по формуле:

где n - общее число примесей, выбрасываемых в атмосферу;

Ai - показатель относительной опасности i-го вещества;

mi - масса годового выброса i-го вещества в атмосферу, т/год;

Кинфл - коэффициент инфляции, численное значение которого

в задаче принимается равным 10.

Расчет годового экономического ущерба от загрязнения водоемов производится по формуле:

где у - константа, численное значение которой рекомендуется принимать равным 400 руб./усл.т;

d - константа, имеющая разные значения для различных водохозяйственных систем (безразмерная).

М - приведенная масса годового сброса примесей конкретным источником, усл. т/год;

Кинфл - коэффициент инфляции, численное значение которого в задаче принимается равным 10.

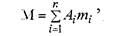
Значение М определяется по формуле:

где i - номер сбрасываемой примеси;

n - общее количество примесей, содержащихся в источнике;

Аi - показатель относительной опасности сброса i-го вещества в водоём; усл.т/т;

mi- общая масса годового сброса г-го вещества, т/год.

Плата за выбросы, сбросы загрязняющих веществ в атмосферу и водные объекты в размерах, не превышающих ПДВ и ПДС, определяется по формуле:

где

П - плата за выбросы (сбросы:) загрязняющего вещества в размерах, не превышающих ПДВ (ПДС), руб.;

Перейти на страницу: 1 2 3

Экологические заметки

Теория и практика применения лазерной спектроскопии (на примере анализа объектов окружающей среды)
Применение лазерной спектроскопии к изучению характеристик сред представляет несомненный интерес как при проведении фундаментальных, так и прикладных исследований. Лазерная спектро ...

Расчет и проектирование установки по очистке сточных вод для предприятия целлюлозно-бумажной промышленности
20-е столетие характеризуется интенсивным ростом населения Земли, развитием урбанизации. Появились города-гиганты с населением более 10-ти млн. человек. Развитие промышленности ...

Разработка программного модуля для нахождения оптимальных предельно-допустимых выбросов в атмосферу от группы источников
В нашей стране существует государственная система управления выбросами промышленных источников загрязнения атмосферы (ИЗА) [1-4]. Целью системы является достижение и поддержание на ...